ОТВЕТ на задание № 346 Учебник по Алгебре 8 класс Макарычев
Учебник
упражнение / 346

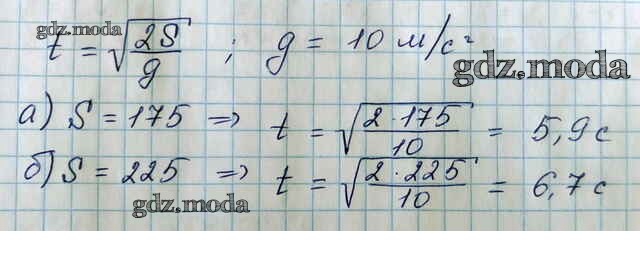
Решебник №1
упражнение / 346

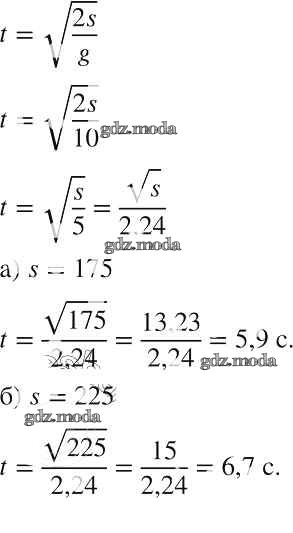
Решебник №2
упражнение / 346

Решебник №3
упражнение / 346

Решебник №4
упражнение / 346

Решебник №5
упражнение / 346

Решебник №6
упражнение / 346

Решебник №7
упражнение / 346
