ОТВЕТ на задание № 35 Учебник по Алгебре 8 класс Макарычев
Учебник
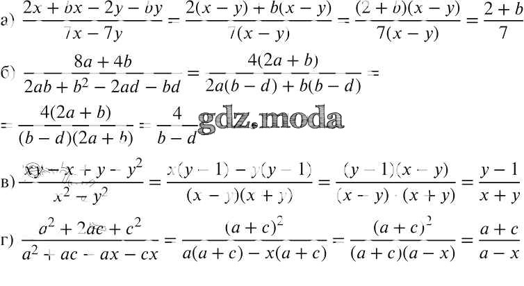
упражнение / 35

Решебник №1
упражнение / 35

Решебник №2
упражнение / 35

Решебник №3
упражнение / 35

Решебник №4
упражнение / 35


Решебник №5
упражнение / 35

Решебник №6
упражнение / 35

Решебник №7
упражнение / 35
