ОТВЕТ на задание № 353 Учебник по Алгебре 8 класс Макарычев
Учебник
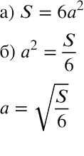
упражнение / 353

Решебник №1
упражнение / 353

Решебник №2
упражнение / 353

Решебник №3
упражнение / 353

Решебник №4
упражнение / 353

Решебник №5
упражнение / 353

Решебник №6
упражнение / 353

Решебник №7
упражнение / 353
