ОТВЕТ на задание № 364 Учебник по Алгебре 8 класс Макарычев
Учебник
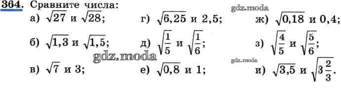
упражнение / 364

Решебник №1
упражнение / 364

Решебник №2
упражнение / 364

Решебник №3
упражнение / 364

Решебник №4
упражнение / 364

Решебник №5
упражнение / 364

Решебник №6
упражнение / 364

Решебник №7
упражнение / 364
