ОТВЕТ на задание № 372 Учебник по Алгебре 8 класс Макарычев
Учебник
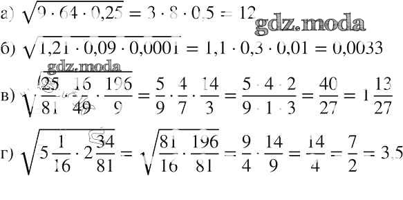
упражнение / 372

Решебник №1
упражнение / 372

Решебник №2
упражнение / 372

Решебник №3
упражнение / 372

Решебник №4
упражнение / 372

Решебник №5
упражнение / 372

Решебник №6
упражнение / 372

Решебник №7
упражнение / 372
