ОТВЕТ на задание № 391 Учебник по Алгебре 8 класс Макарычев
Учебник
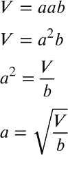
упражнение / 391

Решебник №1
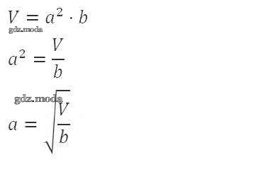
упражнение / 391

Решебник №2
упражнение / 391

Решебник №3
упражнение / 391

Решебник №4
упражнение / 391

Решебник №5
упражнение / 391

Решебник №6
упражнение / 391

Решебник №7
упражнение / 391
