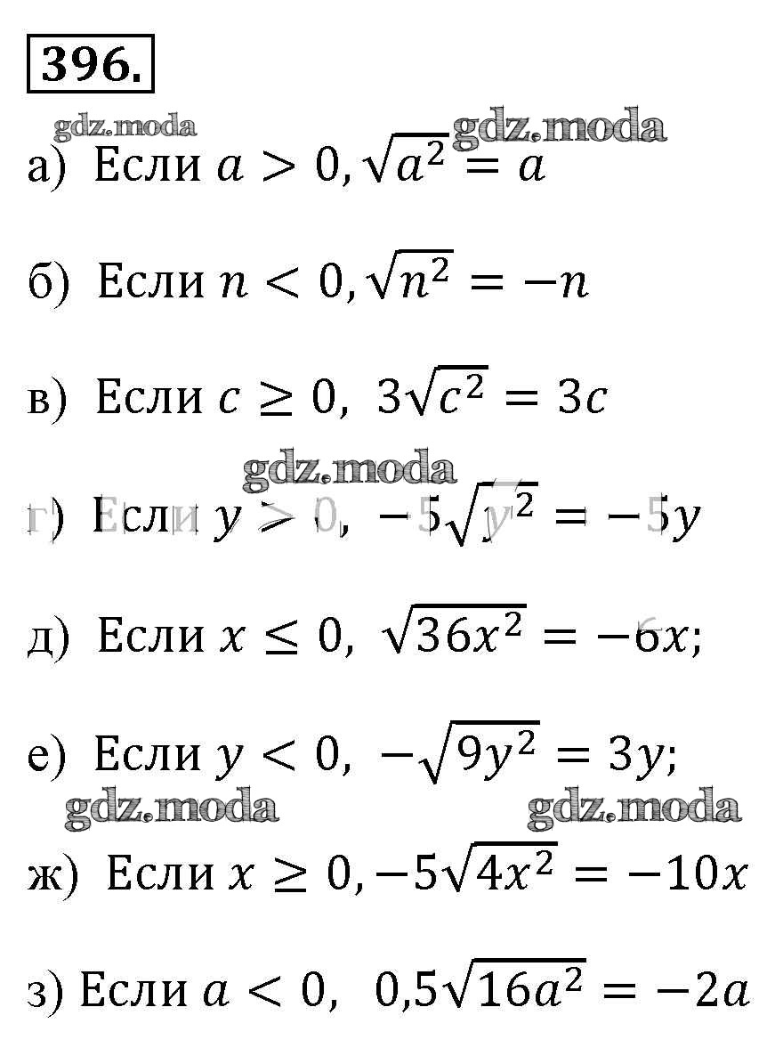
ОТВЕТ на задание № 396 Учебник по Алгебре 8 класс Макарычев
Учебник
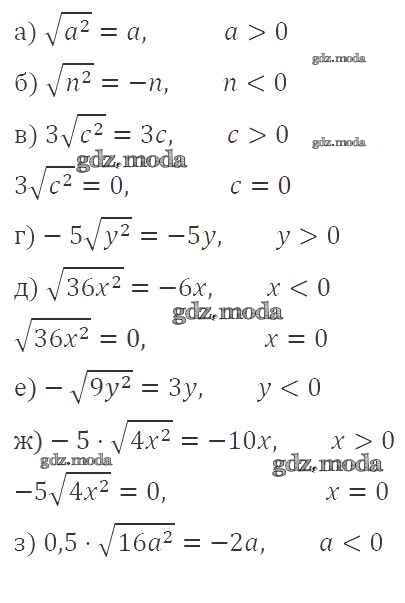
упражнение / 396

Решебник №1
упражнение / 396

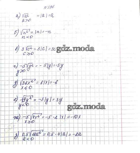
Решебник №2
упражнение / 396

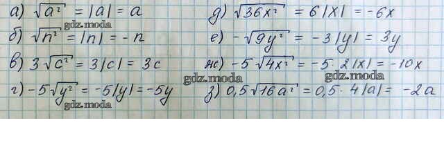
Решебник №3
упражнение / 396

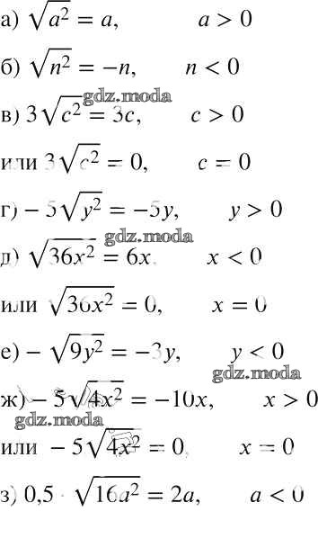
Решебник №4
упражнение / 396

Решебник №5
упражнение / 396

Решебник №6
упражнение / 396

Решебник №7
упражнение / 396
