ОТВЕТ на задание № 40 Учебник по Алгебре 8 класс Макарычев
Учебник
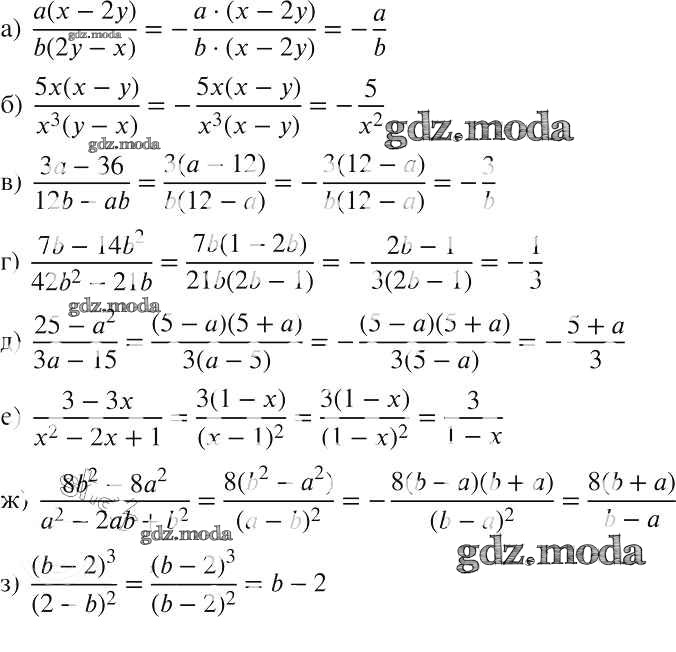
упражнение / 40

Решебник №1
упражнение / 40

Решебник №2
упражнение / 40

Решебник №3
упражнение / 40

Решебник №4
упражнение / 40


Решебник №5
упражнение / 40

Решебник №6
упражнение / 40

Решебник №7
упражнение / 40
