ОТВЕТ на задание № 409 Учебник по Алгебре 8 класс Макарычев
Учебник
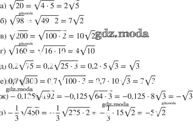
упражнение / 409

Решебник №1
упражнение / 409

Решебник №2
упражнение / 409

Решебник №3
упражнение / 409

Решебник №4
упражнение / 409

Решебник №5
упражнение / 409

Решебник №6
упражнение / 409

Решебник №7
упражнение / 409
