ОТВЕТ на задание № 412 Учебник по Алгебре 8 класс Макарычев
Учебник
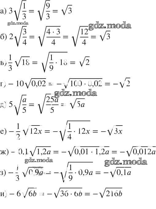
упражнение / 412

Решебник №1
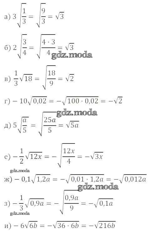
упражнение / 412

Решебник №2
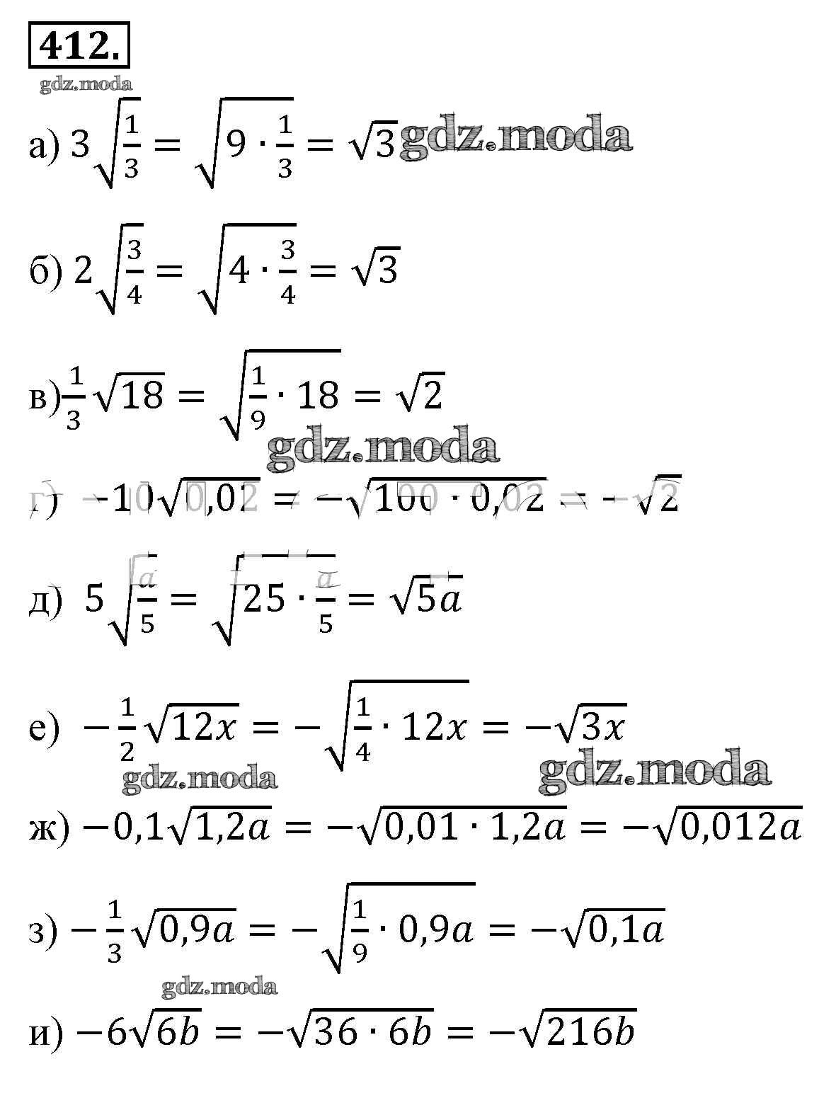
упражнение / 412

Решебник №3
упражнение / 412

Решебник №4
упражнение / 412


Решебник №5
упражнение / 412

Решебник №6
упражнение / 412

Решебник №7
упражнение / 412
