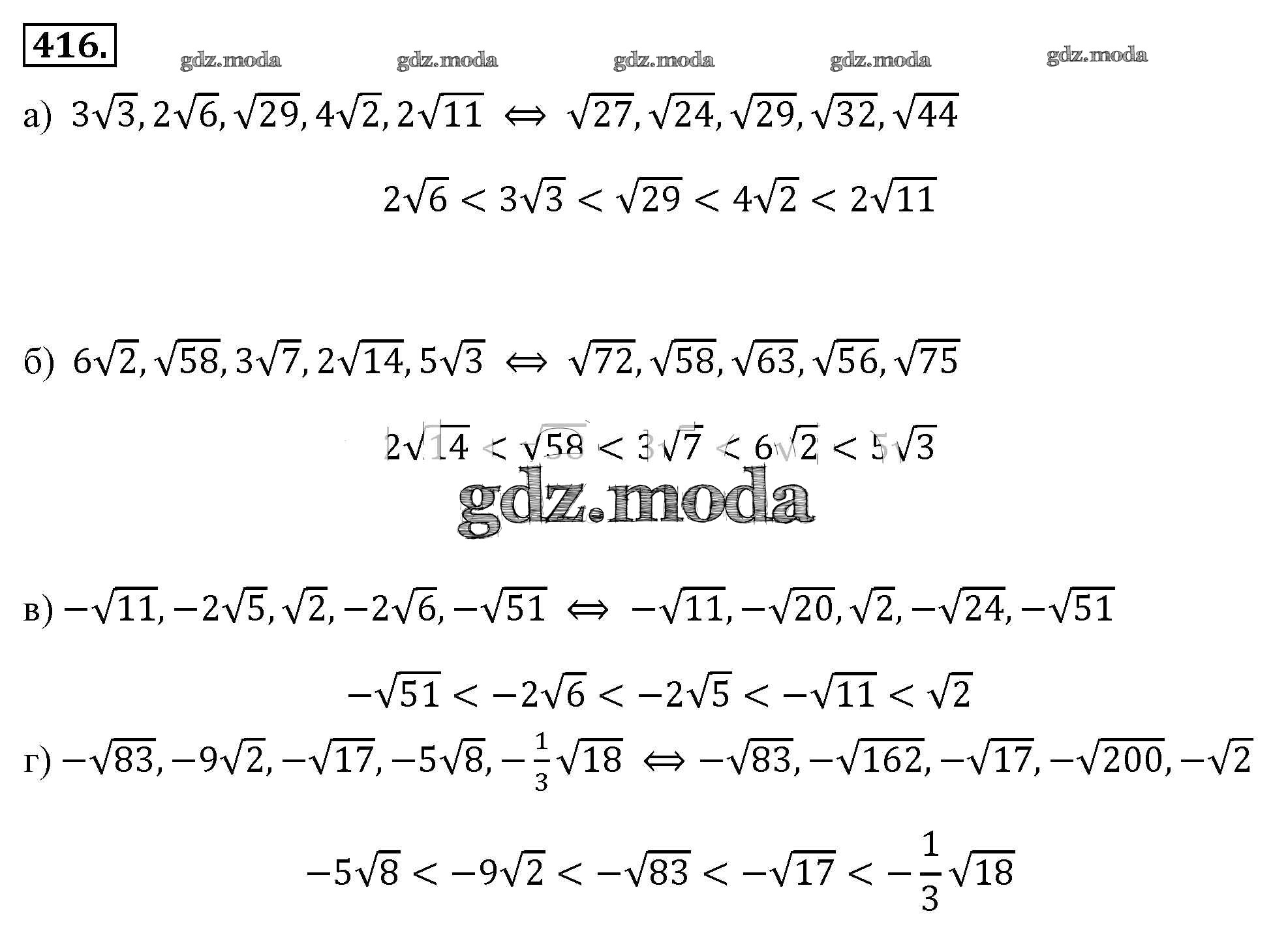
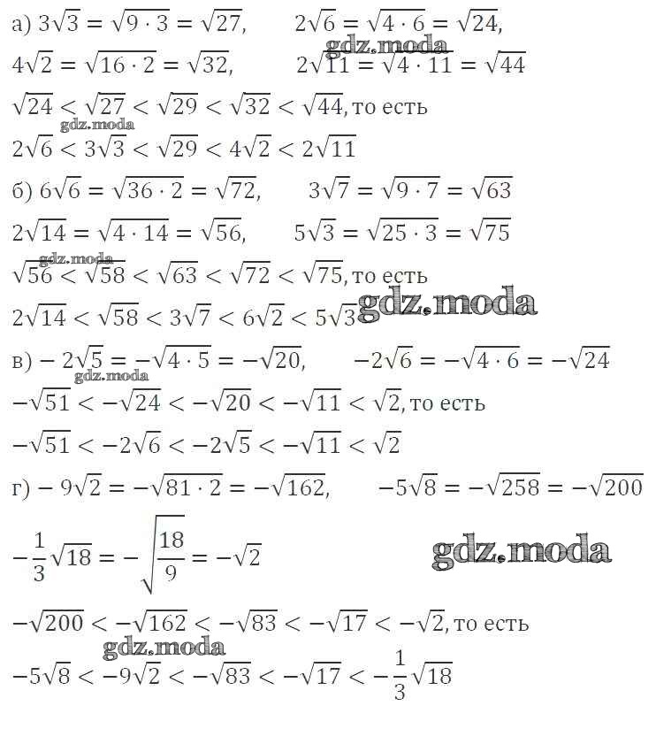
ОТВЕТ на задание № 416 Учебник по Алгебре 8 класс Макарычев
Учебник
упражнение / 416

Решебник №1
упражнение / 416

Решебник №2
упражнение / 416

Решебник №3
упражнение / 416

Решебник №4
упражнение / 416


Решебник №5
упражнение / 416

Решебник №6
упражнение / 416

Решебник №7
упражнение / 416
