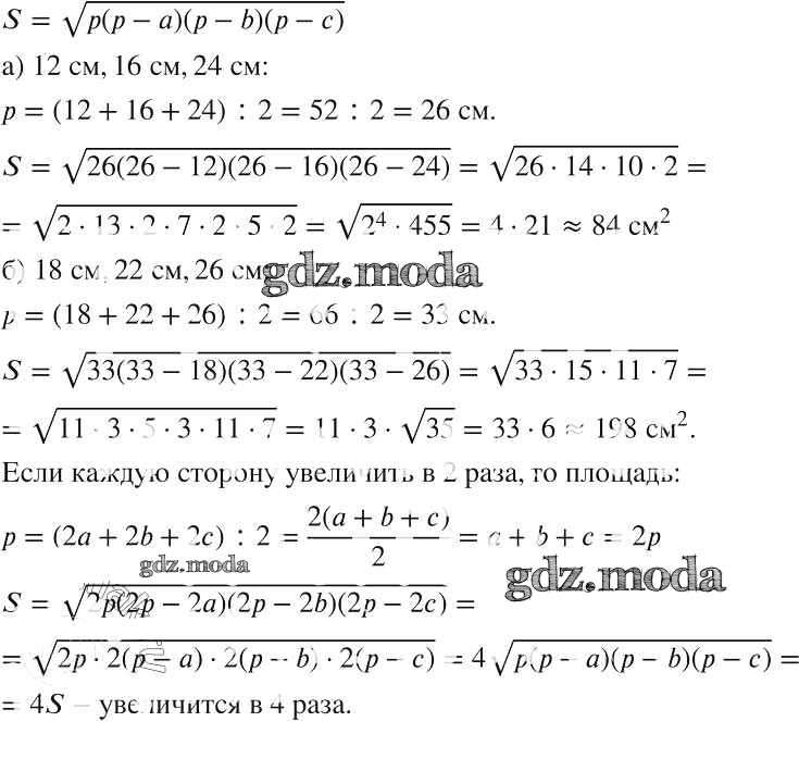
ОТВЕТ на задание № 418 Учебник по Алгебре 8 класс Макарычев
Учебник
упражнение / 418

Решебник №1
упражнение / 418

Решебник №2
упражнение / 418

Решебник №3
упражнение / 418

Решебник №4
упражнение / 418

Решебник №5
упражнение / 418

Решебник №6
упражнение / 418

Решебник №7
упражнение / 418
