ОТВЕТ на задание № 425 Учебник по Алгебре 8 класс Макарычев
Учебник
упражнение / 425

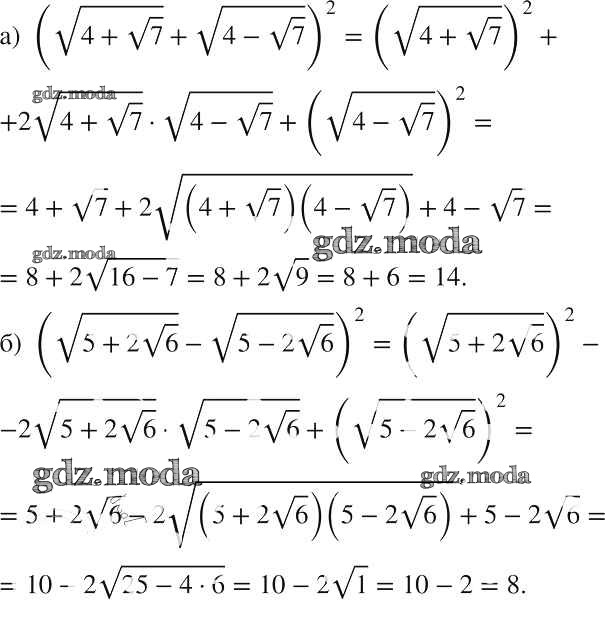
Решебник №1
упражнение / 425

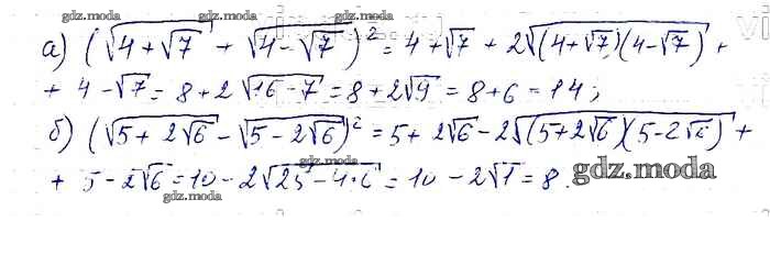
Решебник №2
упражнение / 425

Решебник №3
упражнение / 425


Решебник №4
упражнение / 425

Решебник №6
упражнение / 425

Решебник №7
упражнение / 425
