ОТВЕТ на задание № 431 Учебник по Алгебре 8 класс Макарычев
Учебник
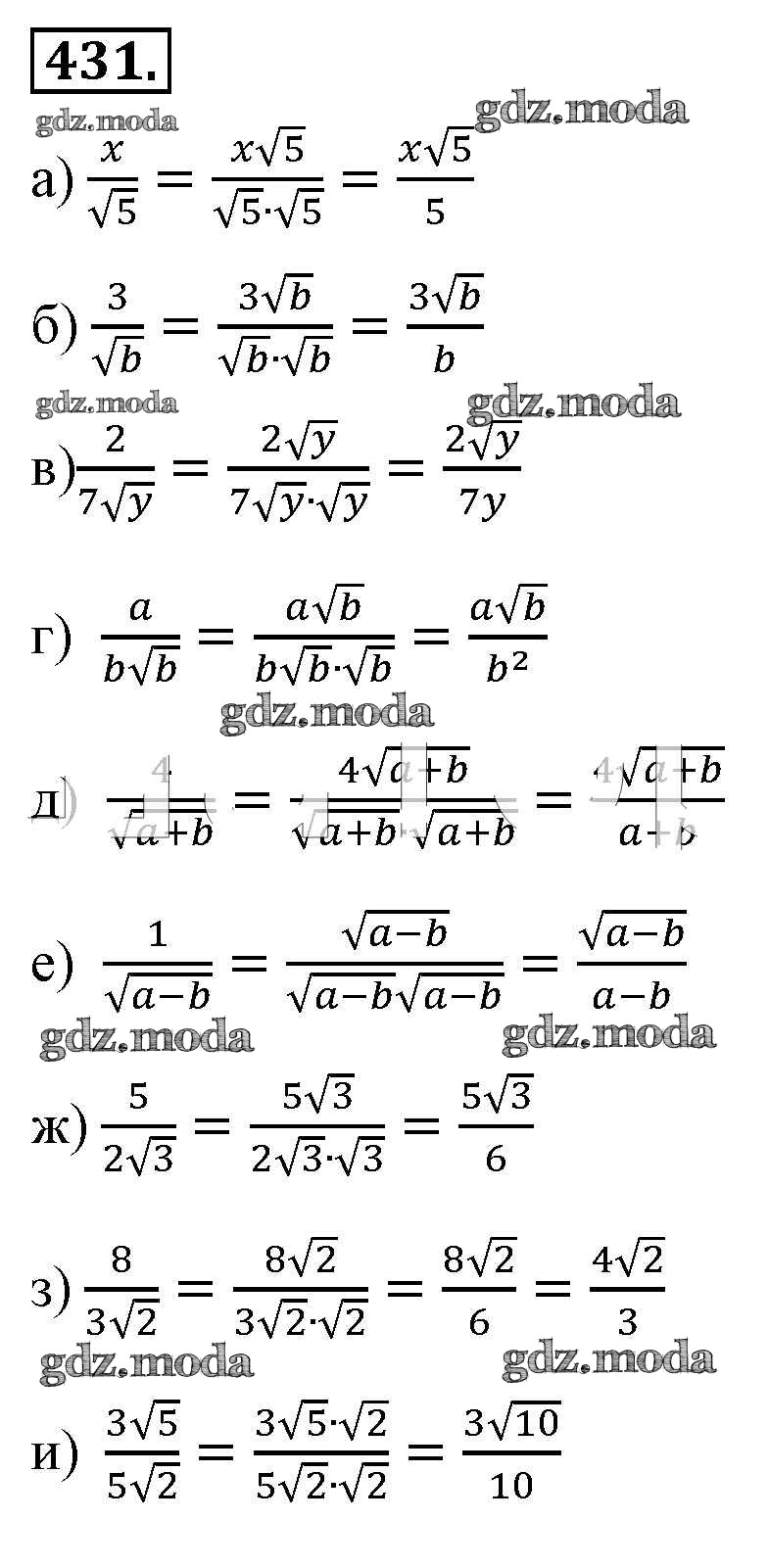
упражнение / 431

Решебник №1
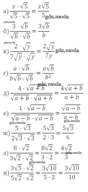
упражнение / 431

Решебник №2
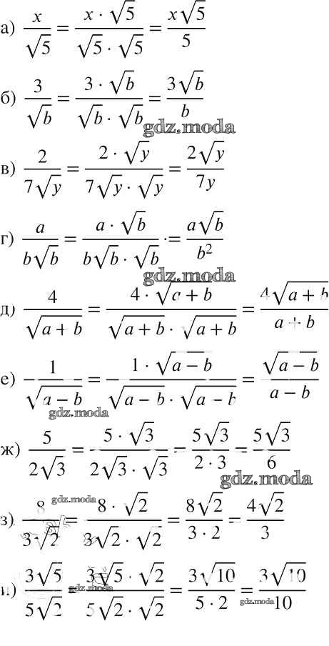
упражнение / 431

Решебник №3
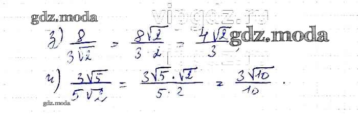
упражнение / 431


Решебник №4
упражнение / 431


Решебник №5
упражнение / 431

Решебник №6
упражнение / 431

Решебник №7
упражнение / 431
