ОТВЕТ на задание № 433 Учебник по Алгебре 8 класс Макарычев
Учебник
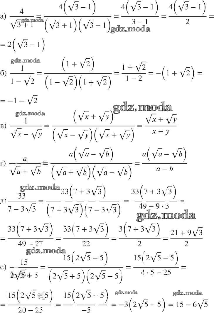
упражнение / 433

Решебник №1
упражнение / 433

Решебник №2
упражнение / 433

Решебник №3
упражнение / 433


Решебник №4
упражнение / 433


Решебник №5
упражнение / 433

Решебник №6
упражнение / 433

Решебник №7
упражнение / 433
