ОТВЕТ на задание № 44 Учебник по Алгебре 8 класс Макарычев
Учебник
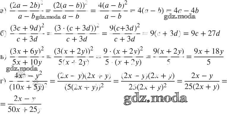
упражнение / 44

Решебник №1
упражнение / 44

Решебник №2
упражнение / 44

Решебник №3
упражнение / 44


Решебник №4
упражнение / 44


Решебник №5
упражнение / 44

Решебник №6
упражнение / 44

Решебник №7
упражнение / 44
