ОТВЕТ на задание № 440 Учебник по Алгебре 8 класс Макарычев
Учебник
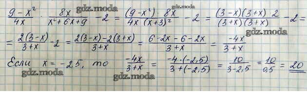
упражнение / 440

Решебник №1
упражнение / 440

Решебник №2
упражнение / 440

Решебник №3
упражнение / 440


Решебник №4
упражнение / 440

Решебник №6
упражнение / 440

Решебник №7
упражнение / 440
