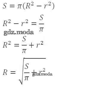
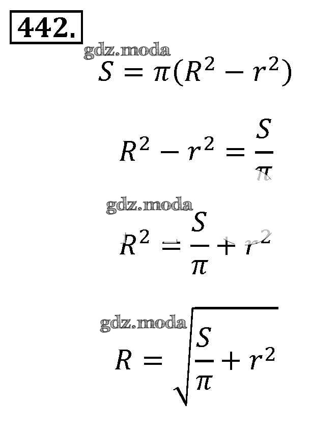
ОТВЕТ на задание № 442 Учебник по Алгебре 8 класс Макарычев
Учебник
упражнение / 442

Решебник №1
упражнение / 442

Решебник №2
упражнение / 442

Решебник №3
упражнение / 442

Решебник №4
упражнение / 442

Решебник №5
упражнение / 442

Решебник №6
упражнение / 442

Решебник №7
упражнение / 442
