ОТВЕТ на задание № 444 Учебник по Алгебре 8 класс Макарычев
Учебник
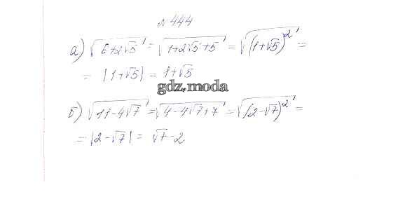
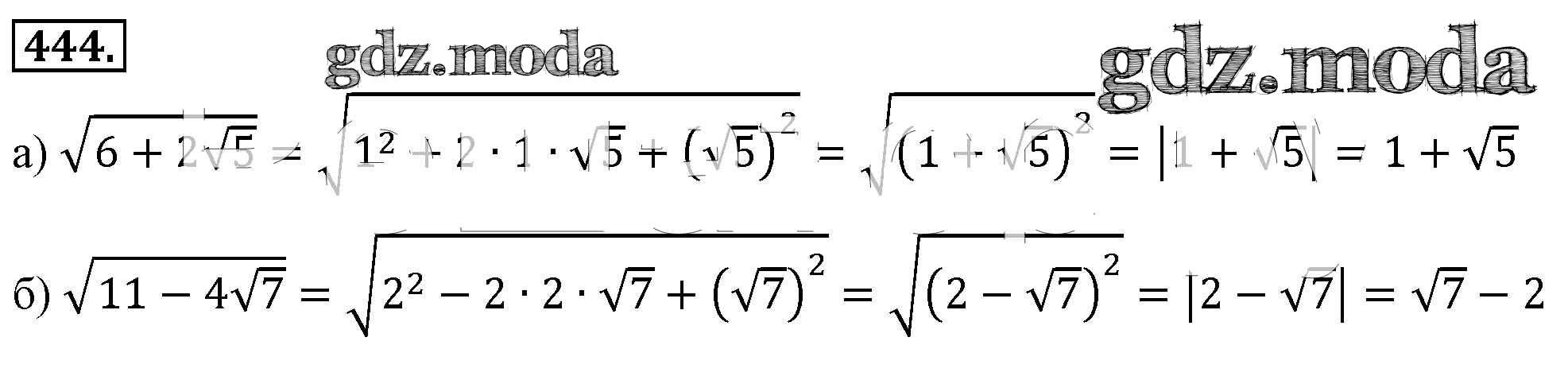
упражнение / 444

Решебник №1
упражнение / 444

Решебник №2
упражнение / 444

Решебник №3
упражнение / 444

Решебник №4
упражнение / 444

Решебник №5
упражнение / 444

Решебник №6
упражнение / 444

Решебник №7
упражнение / 444
