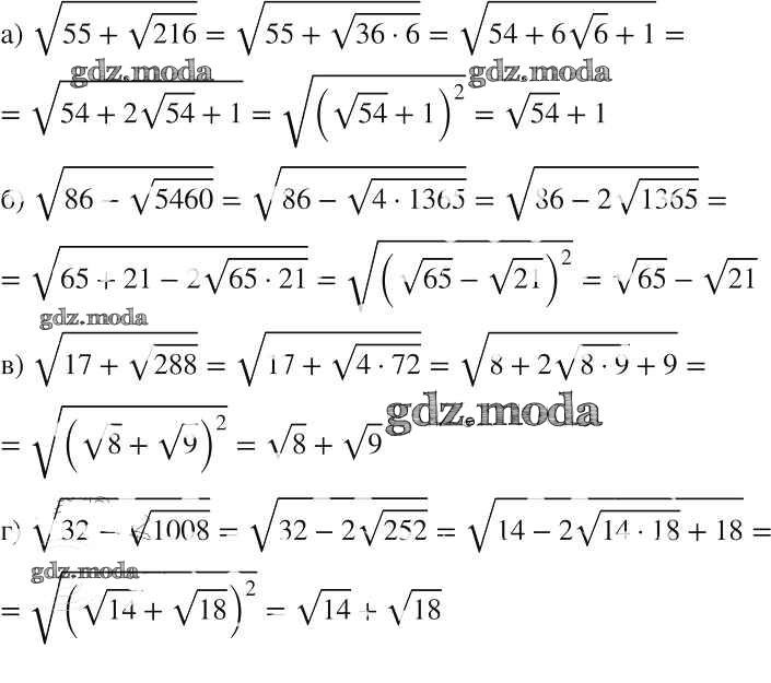
ОТВЕТ на задание № 446 Учебник по Алгебре 8 класс Макарычев
Учебник
упражнение / 446

Решебник №1
упражнение / 446

Решебник №2
упражнение / 446

Решебник №3
упражнение / 446

Решебник №4
упражнение / 446

Решебник №5
упражнение / 446

Решебник №6
упражнение / 446

Решебник №7
упражнение / 446
