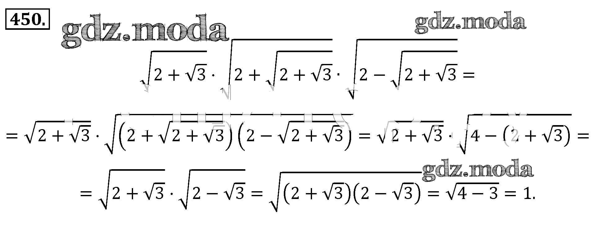
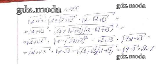
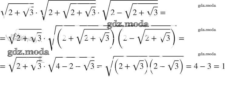
ОТВЕТ на задание № 450 Учебник по Алгебре 8 класс Макарычев
Учебник
упражнение / 450

Решебник №1
упражнение / 450

Решебник №2
упражнение / 450

Решебник №3
упражнение / 450

Решебник №4
упражнение / 450

Решебник №5
упражнение / 450

Решебник №6
упражнение / 450

Решебник №7
упражнение / 450
