ОТВЕТ на задание № 453 Учебник по Алгебре 8 класс Макарычев
Учебник
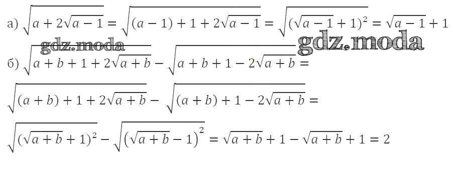
упражнение / 453

Решебник №1
упражнение / 453

Решебник №2
упражнение / 453

Решебник №3
упражнение / 453

Решебник №4
упражнение / 453

Решебник №5
упражнение / 453

Решебник №6
упражнение / 453

Решебник №7
упражнение / 453
