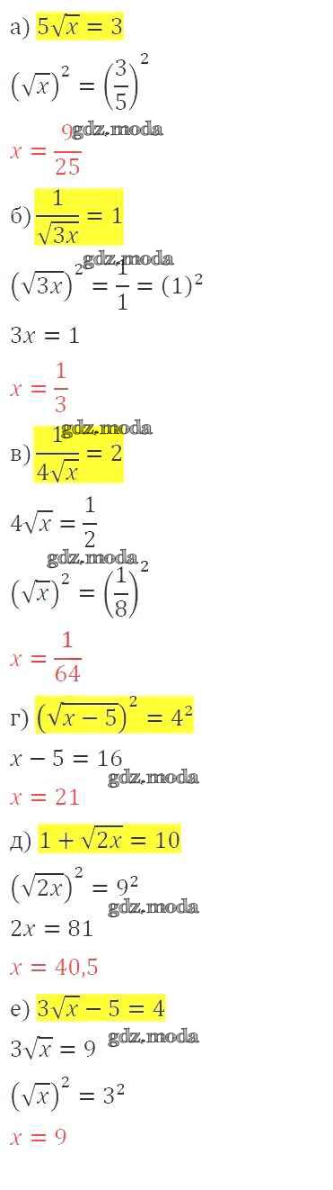
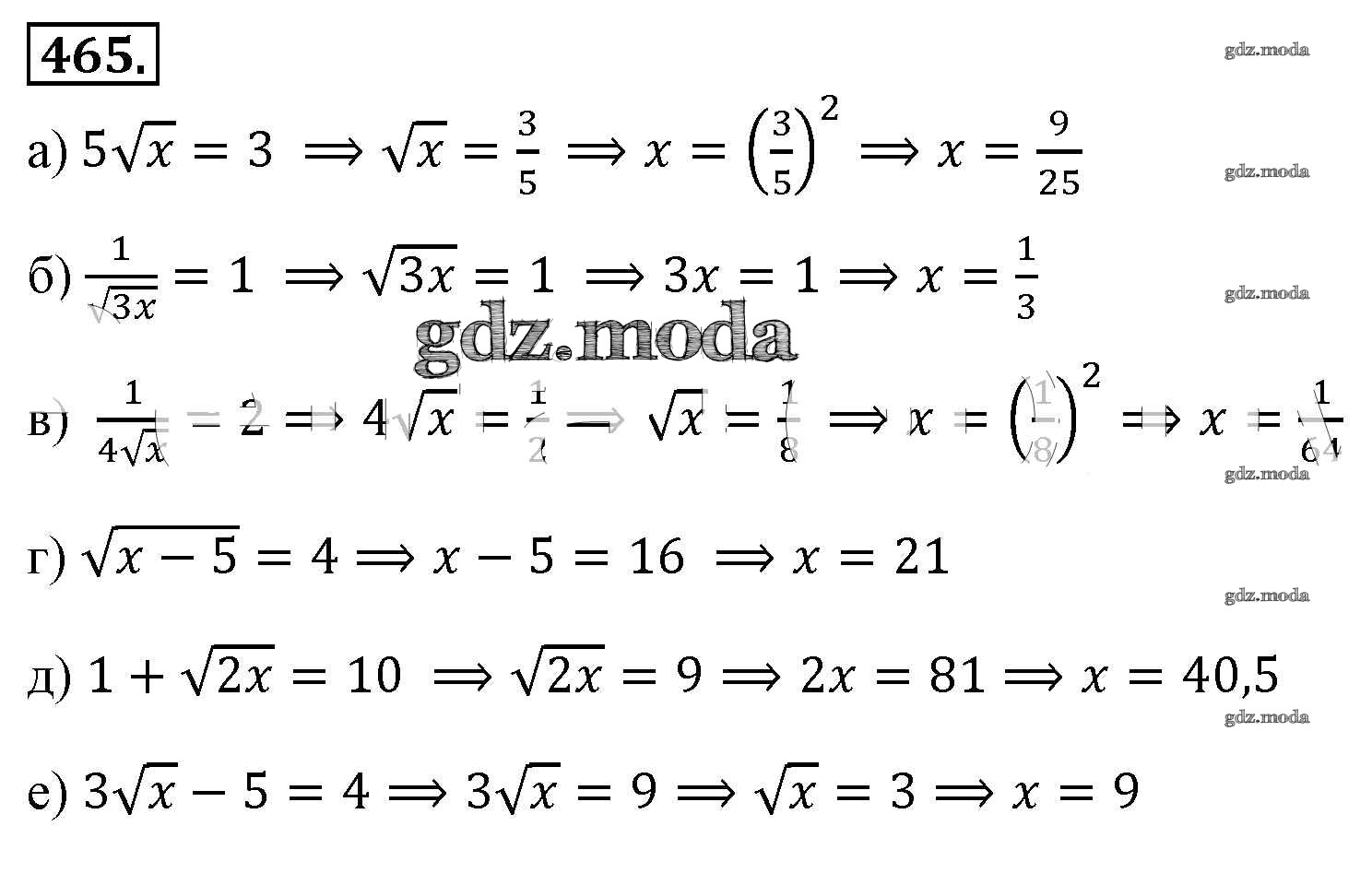
ОТВЕТ на задание № 465 Учебник по Алгебре 8 класс Макарычев
Учебник
упражнение / 465

Решебник №1
упражнение / 465

Решебник №2
упражнение / 465

Решебник №3
упражнение / 465

Решебник №4
упражнение / 465


Решебник №5
упражнение / 465

Решебник №6
упражнение / 465

Решебник №7
упражнение / 465
