ОТВЕТ на задание № 469 Учебник по Алгебре 8 класс Макарычев
Учебник
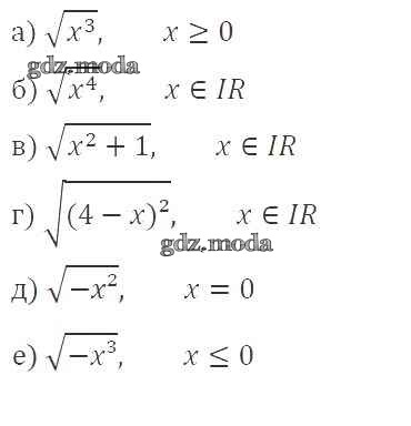
упражнение / 469

Решебник №1
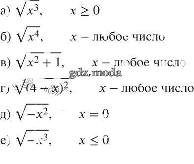
упражнение / 469

Решебник №2
упражнение / 469

Решебник №3
упражнение / 469

Решебник №4
упражнение / 469

Решебник №5
упражнение / 469

Решебник №6
упражнение / 469

Решебник №7
упражнение / 469
