ОТВЕТ на задание № 477 Учебник по Алгебре 8 класс Макарычев
Учебник
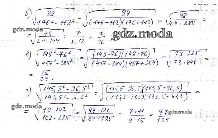
упражнение / 477

Решебник №1
упражнение / 477

Решебник №2
упражнение / 477

Решебник №3
упражнение / 477


Решебник №4
упражнение / 477


Решебник №5
упражнение / 477

Решебник №6
упражнение / 477

Решебник №7
упражнение / 477
