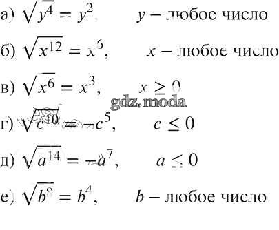
ОТВЕТ на задание № 484 Учебник по Алгебре 8 класс Макарычев
Учебник
упражнение / 484

Решебник №1
упражнение / 484

Решебник №2
упражнение / 484

Решебник №3
упражнение / 484

Решебник №4
упражнение / 484


Решебник №5
упражнение / 484

Решебник №6
упражнение / 484

Решебник №7
упражнение / 484
