ОТВЕТ на задание № 487 Учебник по Алгебре 8 класс Макарычев
Учебник
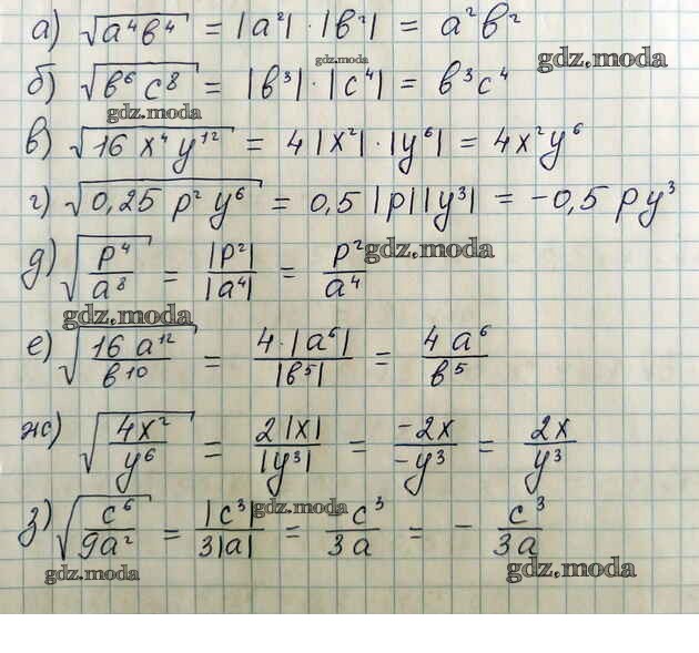
упражнение / 487

Решебник №1
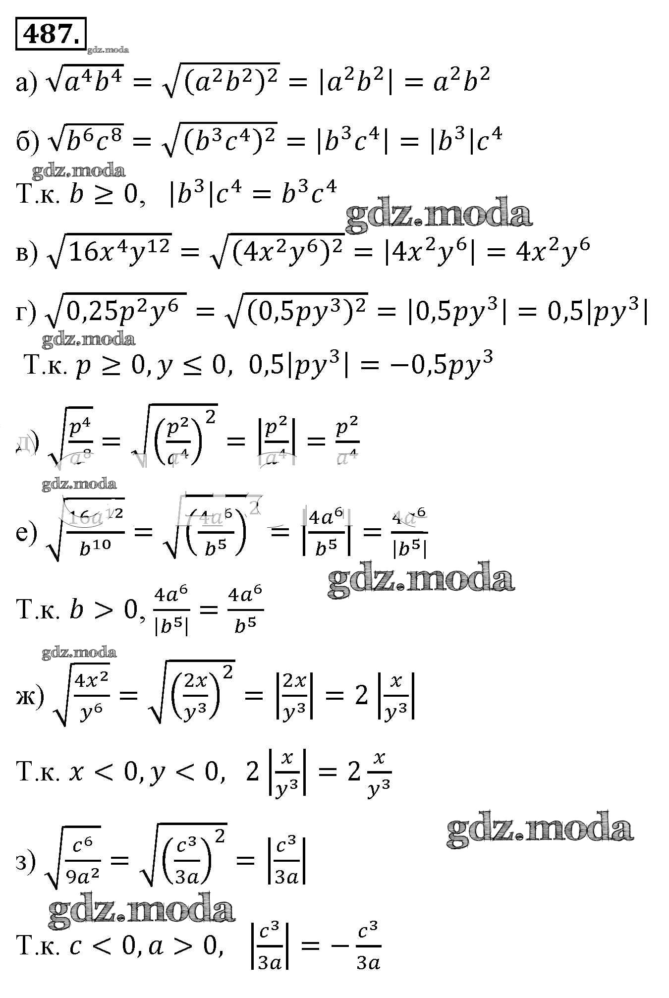
упражнение / 487

Решебник №2
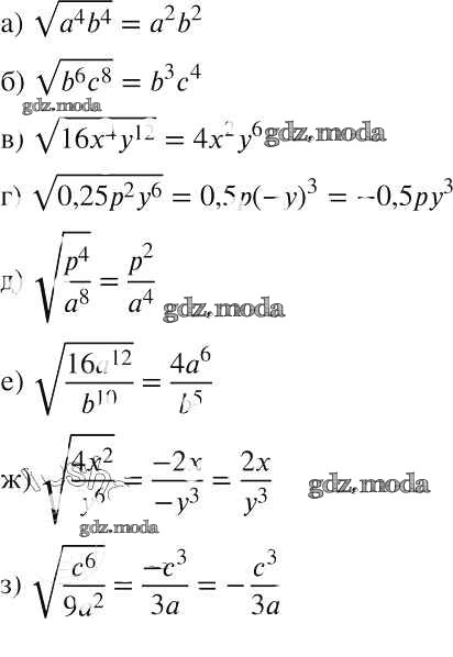
упражнение / 487

Решебник №3
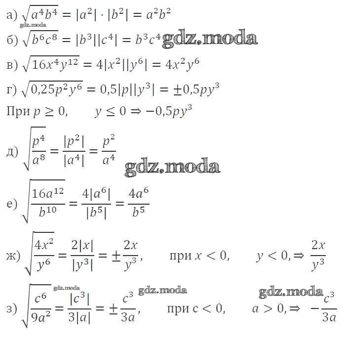
упражнение / 487

Решебник №4
упражнение / 487

Решебник №5
упражнение / 487

Решебник №6
упражнение / 487

Решебник №7
упражнение / 487
