ОТВЕТ на задание № 490 Учебник по Алгебре 8 класс Макарычев
Учебник
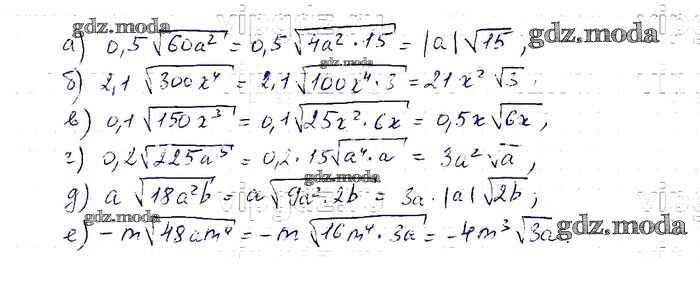
упражнение / 490

Решебник №1
упражнение / 490

Решебник №2
упражнение / 490

Решебник №3
упражнение / 490


Решебник №4
упражнение / 490

Решебник №5
упражнение / 490

Решебник №6
упражнение / 490

Решебник №7
упражнение / 490
