ОТВЕТ на задание № 500 Учебник по Алгебре 8 класс Макарычев
Учебник
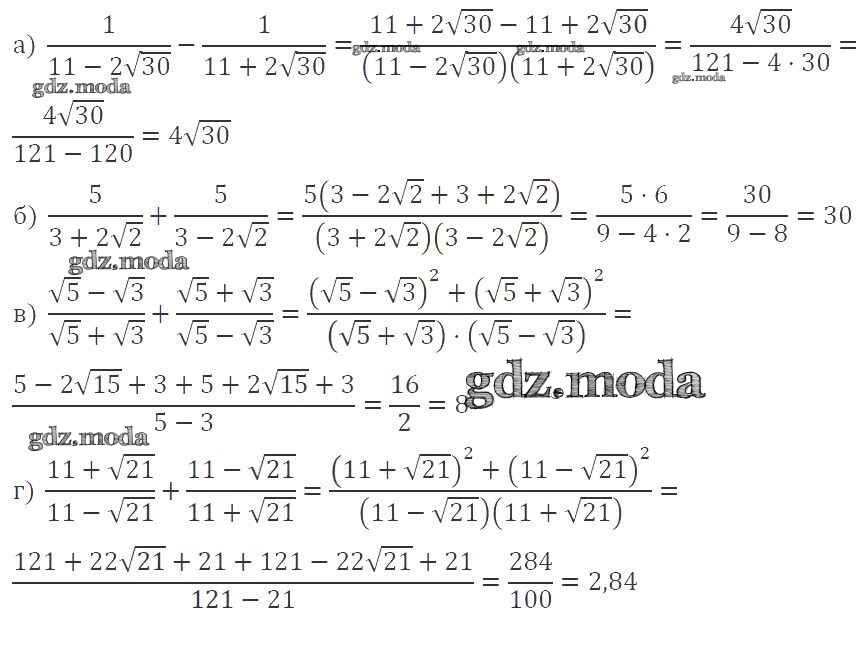
упражнение / 500

Решебник №1
упражнение / 500

Решебник №2
упражнение / 500

Решебник №3
упражнение / 500

Решебник №4
упражнение / 500


Решебник №6
упражнение / 500

Решебник №7
упражнение / 500
