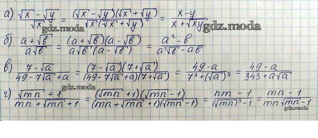
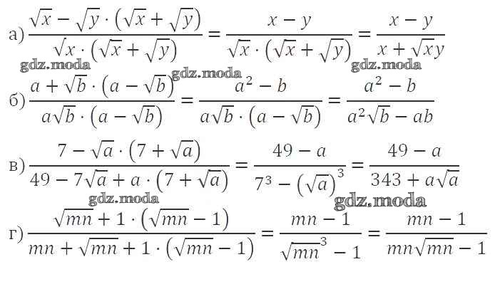
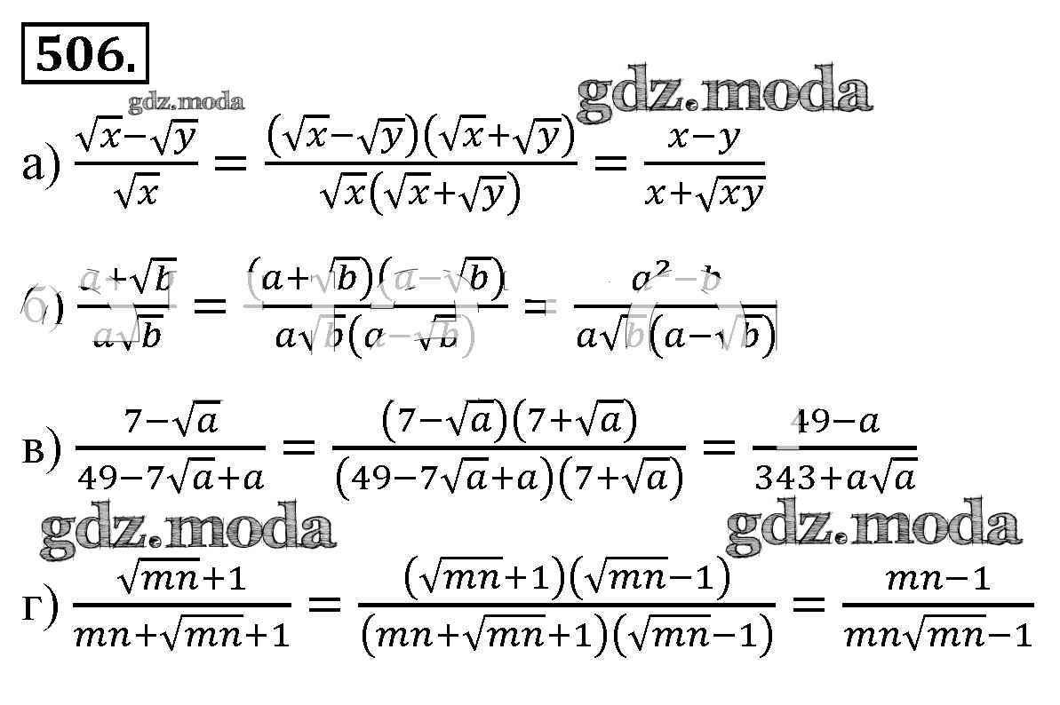
ОТВЕТ на задание № 506 Учебник по Алгебре 8 класс Макарычев
Учебник
упражнение / 506

Решебник №1
упражнение / 506

Решебник №2
упражнение / 506

Решебник №3
упражнение / 506

Решебник №4
упражнение / 506

Решебник №5
упражнение / 506

Решебник №6
упражнение / 506

Решебник №7
упражнение / 506
