ОТВЕТ на задание № 51 Учебник по Алгебре 8 класс Макарычев
Учебник
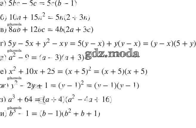
упражнение / 51

Решебник №1
упражнение / 51

Решебник №2
упражнение / 51

Решебник №3
упражнение / 51


Решебник №4
упражнение / 51


Решебник №5
упражнение / 51

Решебник №6
упражнение / 51

Решебник №7
упражнение / 51
