ОТВЕТ на задание № 510 Учебник по Алгебре 8 класс Макарычев
Учебник
упражнение / 510

Решебник №1
упражнение / 510

Решебник №2
упражнение / 510

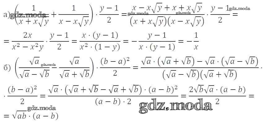
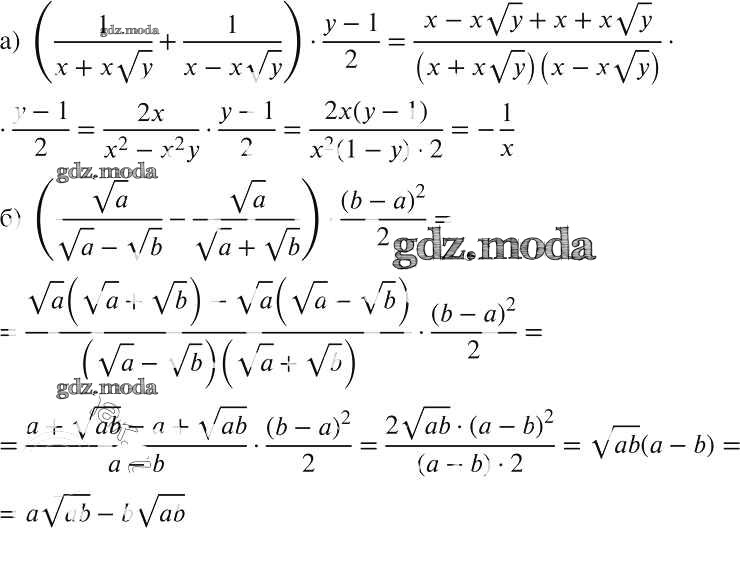
Решебник №3
упражнение / 510

Решебник №4
упражнение / 510


Решебник №5
упражнение / 510

Решебник №6
упражнение / 510

Решебник №7
упражнение / 510
