ОТВЕТ на задание № 534 Учебник по Алгебре 8 класс Макарычев
Учебник
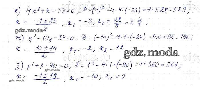
упражнение / 534

Решебник №1
упражнение / 534

Решебник №2
упражнение / 534


Решебник №3
упражнение / 534


Решебник №4
упражнение / 534


Решебник №5
упражнение / 534

Решебник №6
упражнение / 534

Решебник №7
упражнение / 534
