ОТВЕТ на задание № 542 Учебник по Алгебре 8 класс Макарычев
Учебник
упражнение / 542

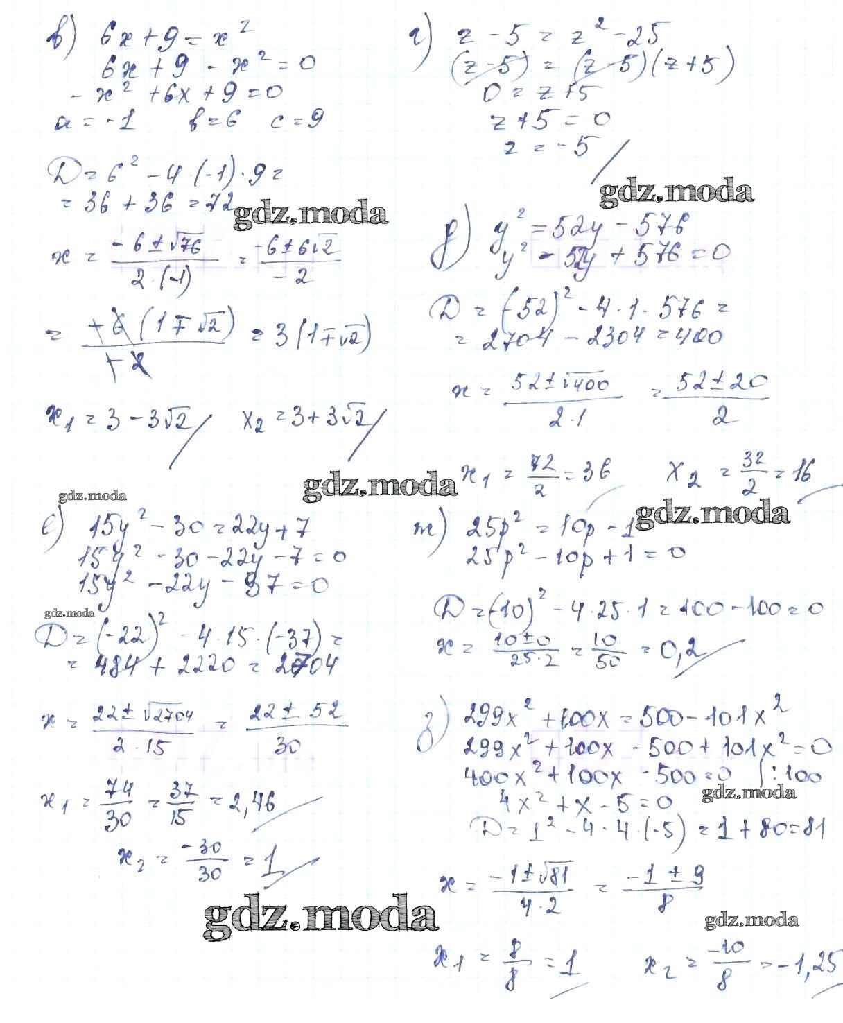
Решебник №1
упражнение / 542

Решебник №2
упражнение / 542


Решебник №3
упражнение / 542

Решебник №4
упражнение / 542


Решебник №5
упражнение / 542

Решебник №6
упражнение / 542

Решебник №7
упражнение / 542
