ОТВЕТ на задание № 560 Учебник по Алгебре 8 класс Макарычев
Учебник
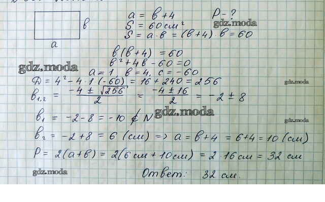
упражнение / 560

Решебник №1
упражнение / 560

Решебник №2
упражнение / 560

Решебник №3
упражнение / 560

Решебник №4
упражнение / 560

Решебник №5
упражнение / 560

Решебник №6
упражнение / 560

Решебник №7
упражнение / 560
