ОТВЕТ на задание № 576 Учебник по Алгебре 8 класс Макарычев
Учебник
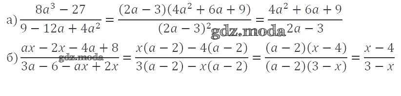
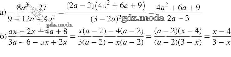
упражнение / 576

Решебник №1
упражнение / 576

Решебник №2
упражнение / 576

Решебник №3
упражнение / 576

Решебник №4
упражнение / 576


Решебник №5
упражнение / 576

Решебник №6
упражнение / 576

Решебник №7
упражнение / 576
