ОТВЕТ на задание № 592 Учебник по Алгебре 8 класс Макарычев
Учебник
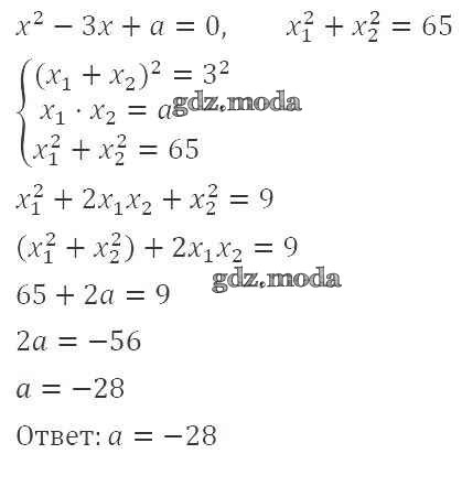
упражнение / 592

Решебник №1
упражнение / 592

Решебник №2
упражнение / 592

Решебник №3
упражнение / 592

Решебник №4
упражнение / 592


Решебник №5
упражнение / 592

Решебник №6
упражнение / 592

Решебник №7
упражнение / 592
