ОТВЕТ на задание № 596 Учебник по Алгебре 8 класс Макарычев
Учебник
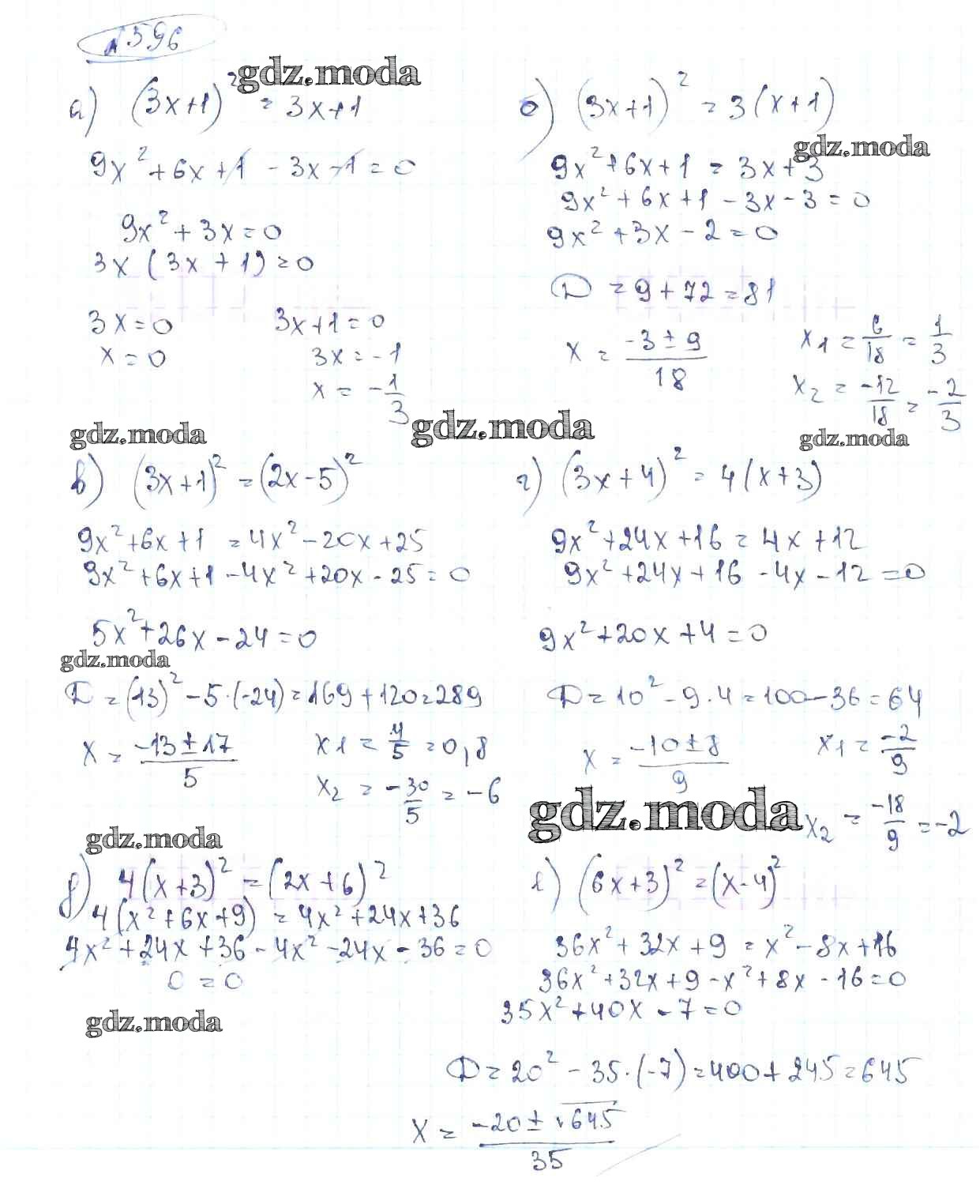
упражнение / 596

Решебник №1
упражнение / 596

Решебник №2
упражнение / 596


Решебник №3
упражнение / 596


Решебник №4
упражнение / 596

Решебник №5
упражнение / 596

Решебник №6
упражнение / 596

Решебник №7
упражнение / 596
