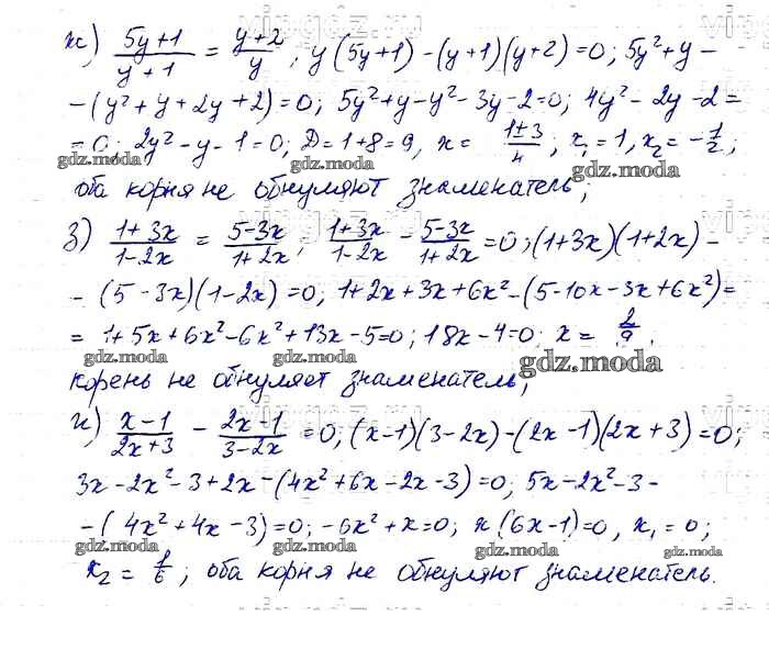
ОТВЕТ на задание № 600 Учебник по Алгебре 8 класс Макарычев
Учебник
упражнение / 600

Решебник №1
упражнение / 600

Решебник №2
упражнение / 600



Решебник №3
упражнение / 600


Решебник №4
упражнение / 600




Решебник №5
упражнение / 600

Решебник №7
упражнение / 600
