ОТВЕТ на задание № 63 Учебник по Алгебре 8 класс Макарычев
Учебник
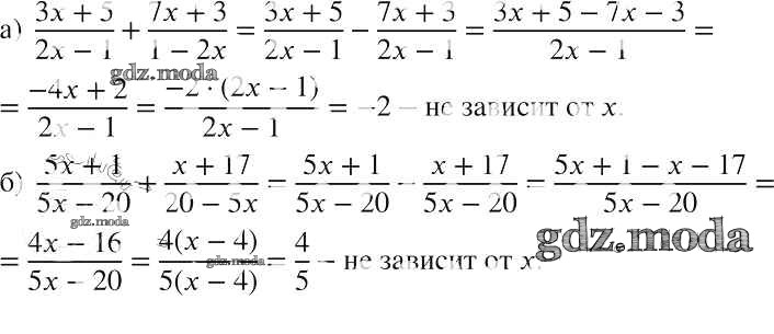
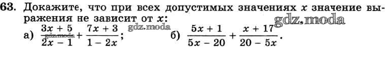
упражнение / 63

Решебник №1
упражнение / 63

Решебник №2
упражнение / 63

Решебник №3
упражнение / 63


Решебник №4
упражнение / 63


Решебник №5
упражнение / 63

Решебник №6
упражнение / 63

Решебник №7
упражнение / 63
