ОТВЕТ на задание № 636 Учебник по Алгебре 8 класс Макарычев
Учебник
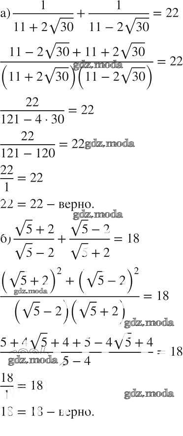
упражнение / 636

Решебник №1
упражнение / 636

Решебник №2
упражнение / 636

Решебник №3
упражнение / 636

Решебник №4
упражнение / 636

Решебник №5
упражнение / 636

Решебник №7
упражнение / 636
