ОТВЕТ на задание № 639 Учебник по Алгебре 8 класс Макарычев
Учебник
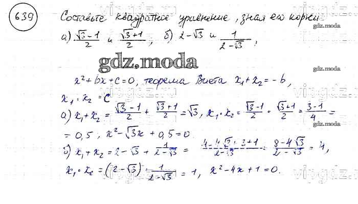
упражнение / 639

Решебник №1
упражнение / 639

Решебник №2
упражнение / 639

Решебник №3
упражнение / 639

Решебник №4
упражнение / 639


Решебник №5
упражнение / 639

Решебник №7
упражнение / 639
