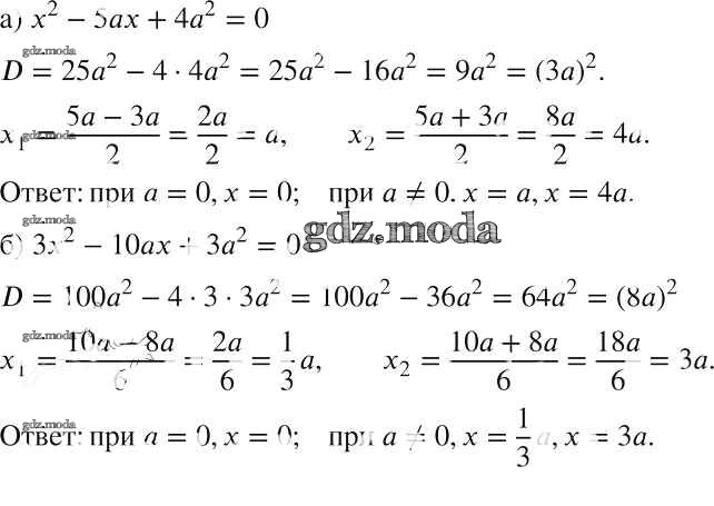
ОТВЕТ на задание № 644 Учебник по Алгебре 8 класс Макарычев
Учебник
упражнение / 644

Решебник №1
упражнение / 644

Решебник №2
упражнение / 644

Решебник №3
упражнение / 644

Решебник №4
упражнение / 644


Решебник №5
упражнение / 644

Решебник №7
упражнение / 644
