ОТВЕТ на задание № 652 Учебник по Алгебре 8 класс Макарычев
Учебник
упражнение / 652

Решебник №1
упражнение / 652

Решебник №2
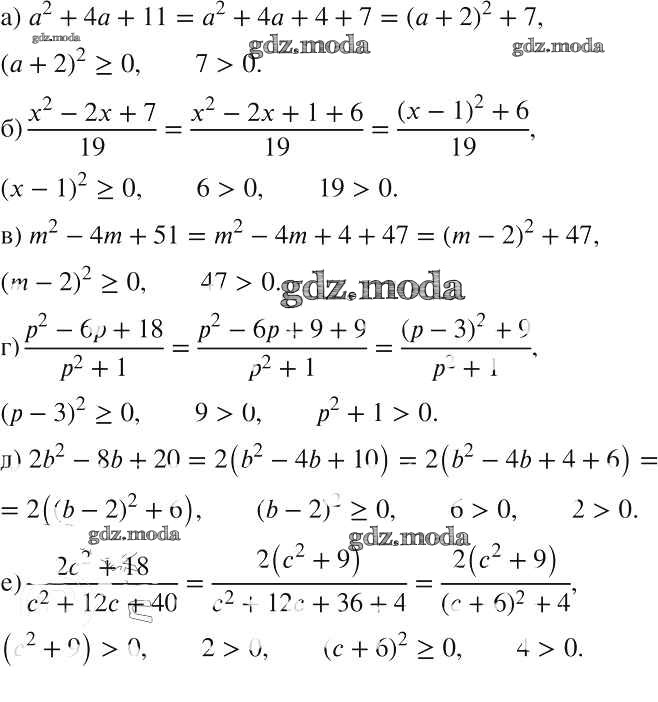
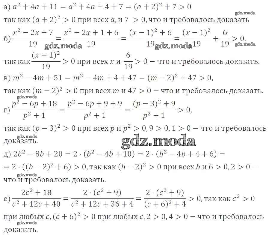
упражнение / 652

Решебник №3
упражнение / 652

Решебник №4
упражнение / 652

Решебник №5
упражнение / 652

Решебник №7
упражнение / 652
