ОТВЕТ на задание № 685 Учебник по Алгебре 8 класс Макарычев
Учебник
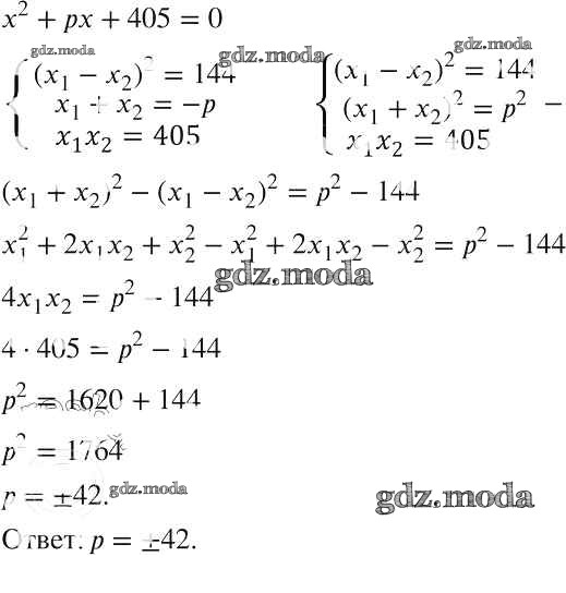
упражнение / 685

Решебник №1
упражнение / 685

Решебник №2
упражнение / 685

Решебник №3
упражнение / 685

Решебник №4
упражнение / 685

Решебник №5
упражнение / 685

Решебник №7
упражнение / 685
