ОТВЕТ на задание № 693 Учебник по Алгебре 8 класс Макарычев
Учебник
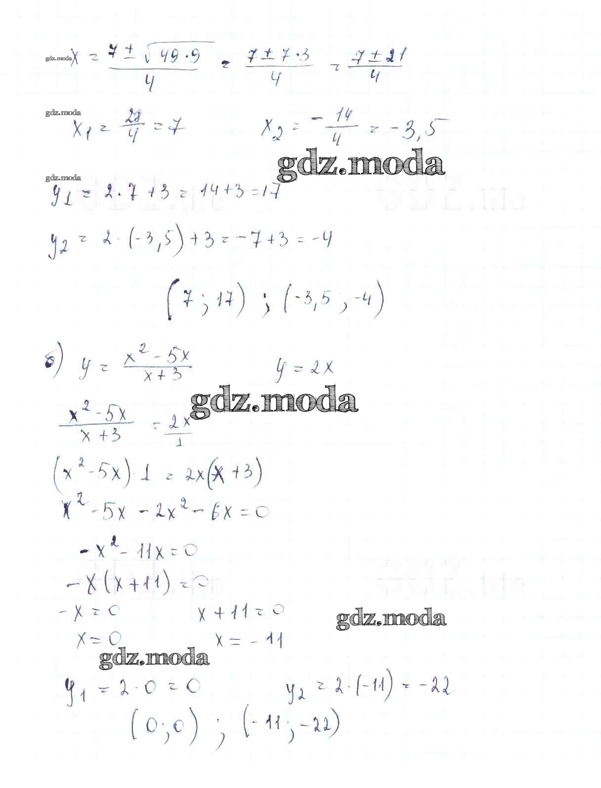
упражнение / 693

Решебник №1
упражнение / 693

Решебник №2
упражнение / 693

Решебник №3
упражнение / 693

Решебник №4
упражнение / 693


Решебник №5
упражнение / 693

Решебник №7
упражнение / 693
