ОТВЕТ на задание № 696 Учебник по Алгебре 8 класс Макарычев
Учебник
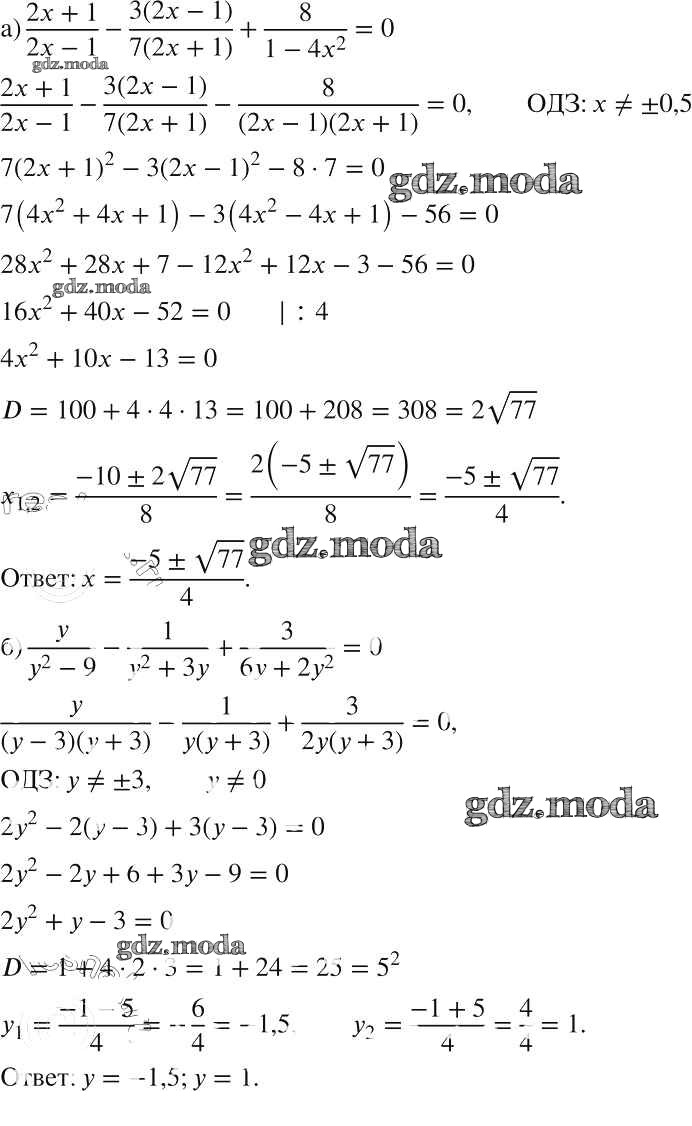
упражнение / 696

Решебник №1
упражнение / 696

Решебник №2
упражнение / 696




Решебник №3
упражнение / 696




Решебник №4
упражнение / 696






Решебник №5
упражнение / 696

Решебник №7
упражнение / 696
