ОТВЕТ на задание № 7 Учебник по Алгебре 8 класс Макарычев
Учебник
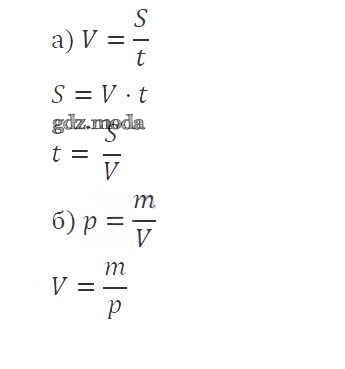
упражнение / 7

Решебник №1
упражнение / 7

Решебник №2
упражнение / 7

Решебник №3
упражнение / 7


Решебник №4
упражнение / 7

Решебник №5
упражнение / 7

Решебник №6
упражнение / 7

Решебник №7
упражнение / 7
