ОТВЕТ на задание № 72 Учебник по Алгебре 8 класс Макарычев
Учебник
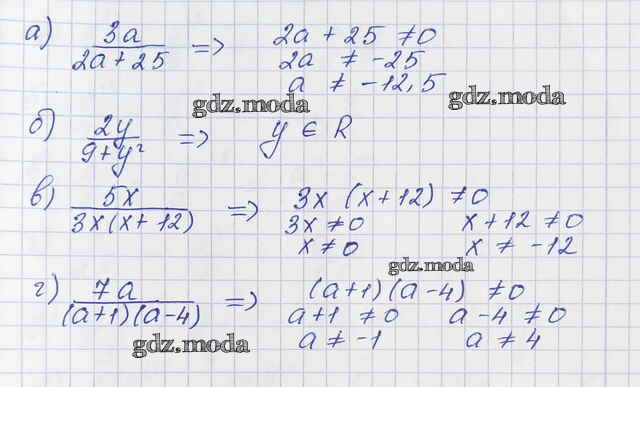
упражнение / 72

Решебник №1
упражнение / 72

Решебник №2
упражнение / 72

Решебник №3
упражнение / 72

Решебник №4
упражнение / 72


Решебник №5
упражнение / 72

Решебник №6
упражнение / 72

Решебник №7
упражнение / 72
