ОТВЕТ на задание № 724 Учебник по Алгебре 8 класс Макарычев
Учебник
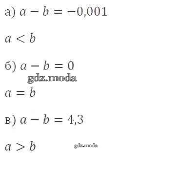
упражнение / 724

Решебник №1
упражнение / 724

Решебник №2
упражнение / 724

Решебник №3
упражнение / 724

Решебник №4
упражнение / 724

Решебник №5
упражнение / 724

Решебник №7
упражнение / 724
